Приказ Министерства транспорта и дорожного хозяйства Тульской области от 17.10.2025 № 256
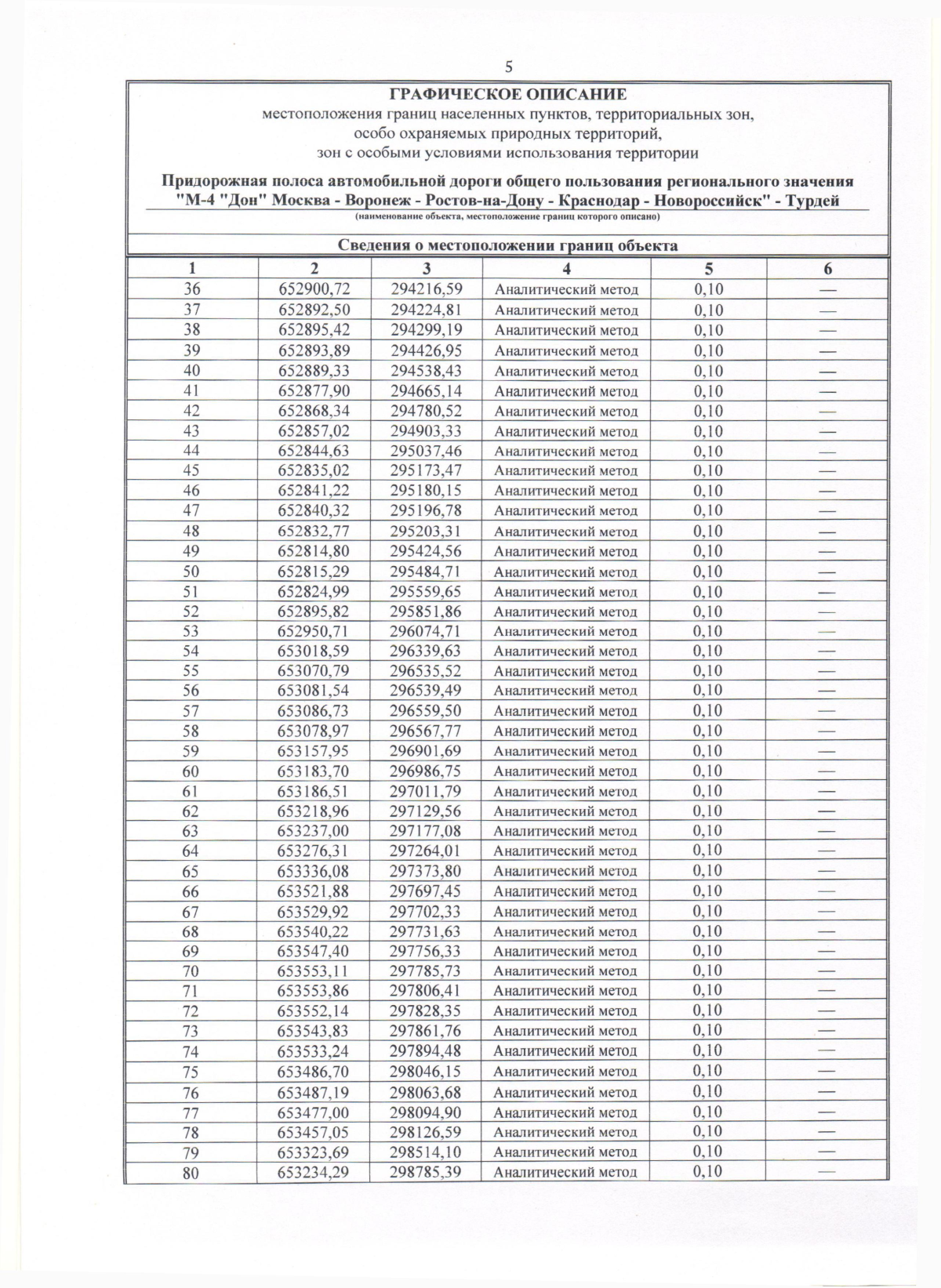
"Об установлении придорожных полос автомобильной дороги общего пользования регионального значения "М-4 "Дон" Москва - Воронеж - Ростов-на-Дону - Краснодар - Новороссийск" - Турдей"
(Зарегистрирован 17.10.2025 № 256)
"Об установлении придорожных полос автомобильной дороги общего пользования регионального значения "М-4 "Дон" Москва - Воронеж - Ростов-на-Дону - Краснодар - Новороссийск" - Турдей"
(Зарегистрирован 17.10.2025 № 256)
Номер опубликования: 7101202510240003
Дата опубликования:
24.10.2025
