Официальное опубликование правовых актов
ОФИЦИАЛЬНОЕ ОПУБЛИКОВАНИЕ
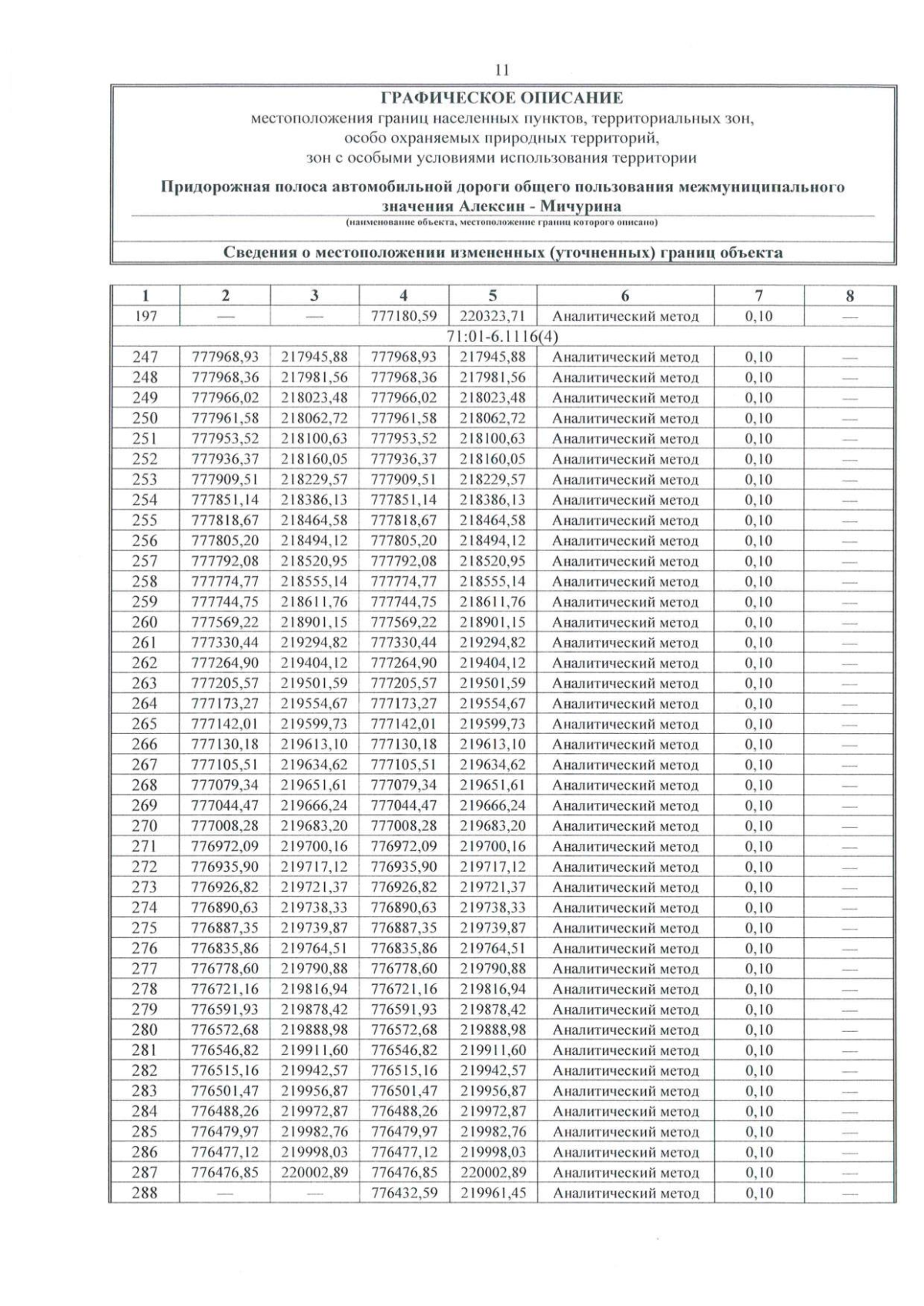
Приказ Министерства транспорта и дорожного хозяйства Тульской области от 17.09.2025 № 216
"О внесении изменений в приказ министерства транспорта и дорожного хозяйства Тульской области от 28.11.2023 №208"
(Зарегистрирован 17.09.2025 № 216)
Номер опубликования: 7101202509250005
Дата опубликования: 25.09.2025
Страница №13 из 54:
Увеличить