Официальное опубликование правовых актов
ОФИЦИАЛЬНОЕ ОПУБЛИКОВАНИЕ
Приказ Комитета Тульской области по архитектуре и градостроительству от 16.09.2025 № 111
"О внесении изменений и дополнений в правила землепользования и застройки муниципального образования Малаховское Заокского района, утверждённые решением Собрания депутатов муниципального образования Малаховское Заокского района от 27.12.2012 №46/162"
(Зарегистрирован 16.09.2025 № 111)
Номер опубликования: 7101202509170001
Дата опубликования: 17.09.2025
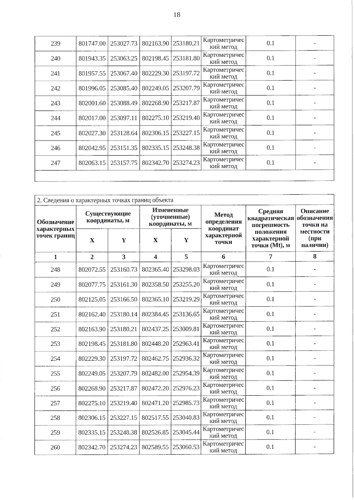
Страница №25 из 41:
Увеличить