Официальное опубликование правовых актов
ОФИЦИАЛЬНОЕ ОПУБЛИКОВАНИЕ
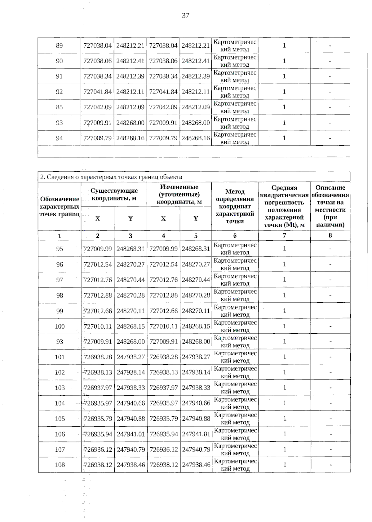
Приказ Комитета Тульской области по архитектуре и градостроительству от 21.04.2025 № 38
"О внесении изменений и дополнений в генеральный план муниципального образования Яснополянское Щекинского района, утверждённый решением Собрания представителей Щекинского района от 30.11.2021 № 68/425"
(Зарегистрирован 21.04.2025 № 38)
Номер опубликования: 7101202504240008
Дата опубликования: 24.04.2025
Страница №45 из 56:
Увеличить