Официальное опубликование правовых актов
ОФИЦИАЛЬНОЕ ОПУБЛИКОВАНИЕ
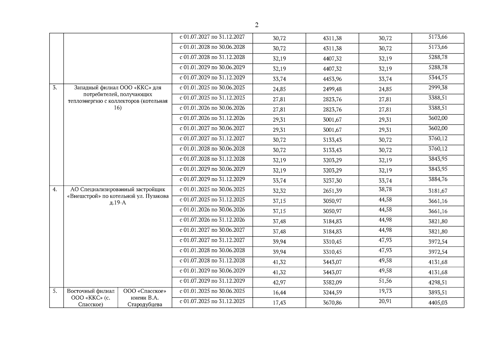
Постановление Комитета Тульской области по тарифам от 17.12.2024 № 49/3
"Об установлении долгосрочных параметров регулирования, производственных программ и тарифов на тепловую энергию и услугу по передаче тепловой энергии, на теплоноситель, на горячую воду в открытых системах теплоснабжения (горячее водоснабжение), на горячую воду (горячее водоснабжение) в закрытых системах горячего водоснабжения, отпускаемую организациями потребителям Тульской области на долгосрочный период регулирования 2025 – 2029 гг., на 2025 год долгосрочных периодов регулирования 2020 – 2025 гг., 2021 – 2025 гг., 2021 – 2026 гг., 2022 – 2025 гг., 2022 – 2026 гг., 2022 – 2027 гг., 2023 - 2026 гг., 2023 – 2027 гг., 2023 - 2028 гг., 2024 - 2027 гг., 2024 - 2028 гг."
(Зарегистрирован 17.12.2024 № 49/3)
Номер опубликования: 7101202412230006
Дата опубликования: 23.12.2024
Страница №27 из 206:
Увеличить