Официальное опубликование правовых актов
ОФИЦИАЛЬНОЕ ОПУБЛИКОВАНИЕ
Приказ Министерства труда и социальной защиты Тульской области от 19.07.2024 № 406-осн
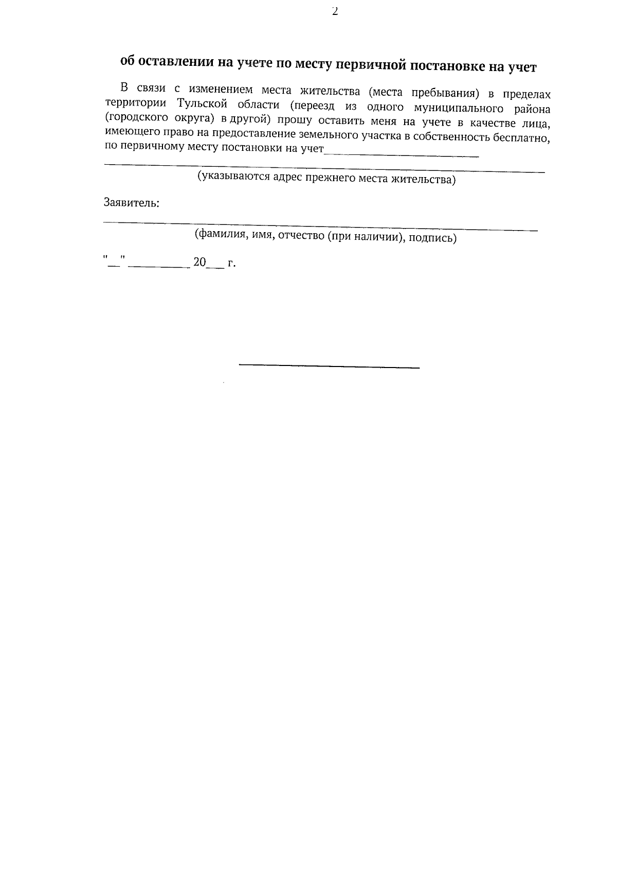
"Об утверждении форм решения о постановке на учет, отказе в постановке на учет в качестве лиц, имеющих право на предоставление земельных участков в собственность бесплатно, реестра граждан, имеющих право на получение земельного участка в собственность бесплатно, заявления об оставлении на учете по первичному месту постановки на учет в качестве лиц, имеющих право на предоставление земельных участков в собственность бесплатно, уведомления о нахождении на учете по месту первичной постановки на учет в качестве лиц, имеющих право на предоставление земельных участков в собственность бесплатно, реестра граждан и членов семьи, имеющих право на получение единовременной денежной выплаты, порядка ведения реестра граждан, членов семьи, имеющих право на получение единовременной денежной выплаты, случаев исключения граждан, членов семьи из реестра граждан, членов семьи, имеющих право на получение единовременной денежной выплаты"
(Зарегистрирован 19.07.2024 № 406-осн)
Номер опубликования: 7101202407220002
Дата опубликования: 22.07.2024
Страница №7 из 11:
Увеличить