Официальное опубликование правовых актов
ОФИЦИАЛЬНОЕ ОПУБЛИКОВАНИЕ
Постановление Комитета Тульской области по тарифам от 15.12.2023 № 50/3
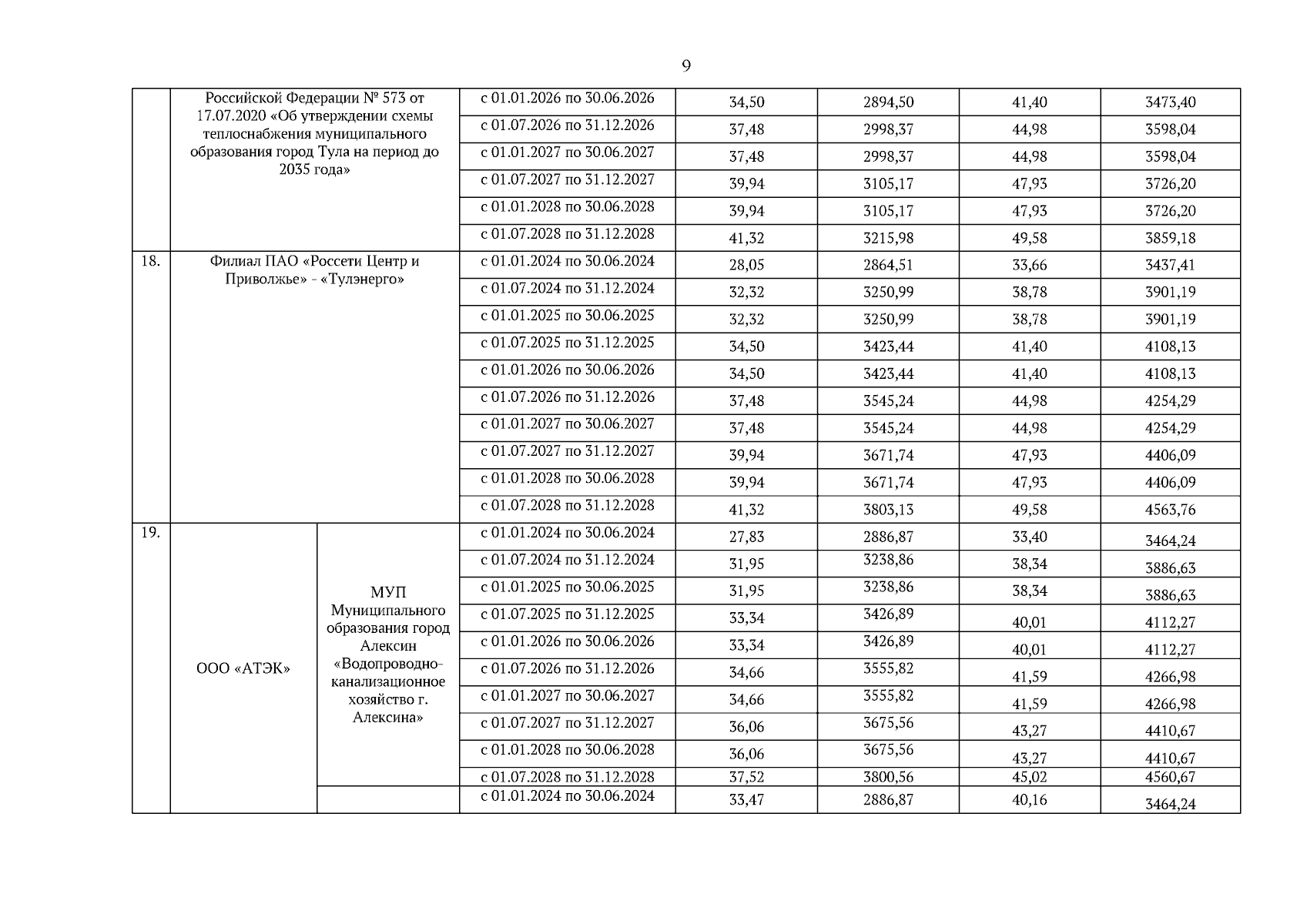
"Об установлении долгосрочных параметров регулирования, производственных программ и тарифов на тепловую энергию и услугу по передаче тепловой энергии, на теплоноситель, на горячую воду в открытых системах теплоснабжения (горячее водоснабжение), на горячую воду (горячее водоснабжение) в закрытых системах горячего водоснабжения, отпускаемую организациями потребителям Тульской области на долгосрочный период регулирования 2024 - 2028 гг., на 2024 год долгосрочных периодов регулирования 2020 – 2024 гг., 2020 – 2025 гг., 2021 – 2024 гг., 2021 – 2025 гг., 2021 – 2026 гг., 2022 – 2025 гг., 2022 – 2026 гг., 2022 – 2027 гг., 2023 - 2026 гг., 2023 – 2027 гг., 2023 - 2028 гг."
(Зарегистрирован 15.12.2023 № 50/3)
Номер опубликования: 7101202312220001
Дата опубликования: 22.12.2023
Страница №136 из 248:
Увеличить