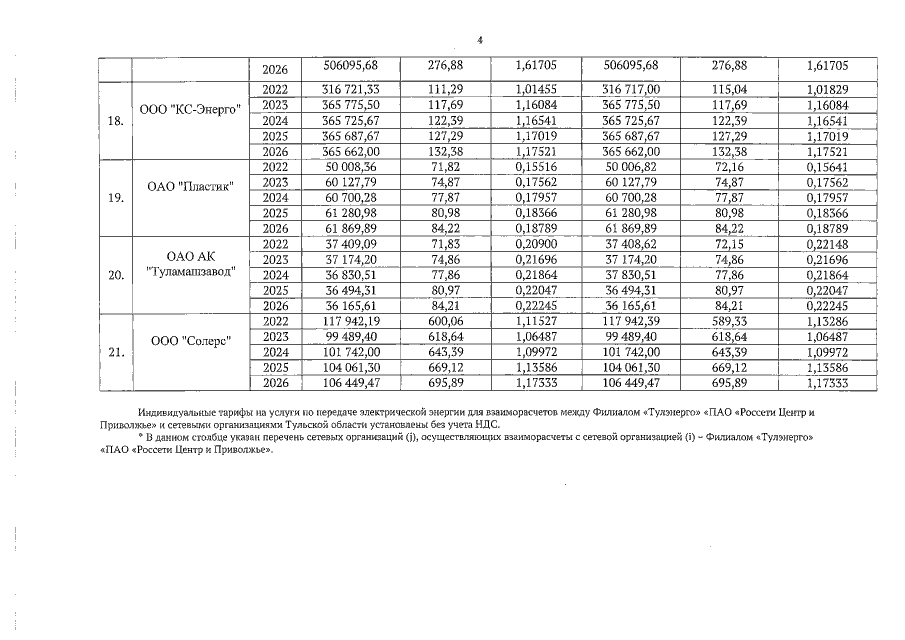
Постановление Комитета Тульской области по тарифам от 23.12.2021 № 53/2
"Об утверждении отдельных тарифов (иных показателей) на регулируемые виды деятельности для организаций, оказывающих услуги по передаче электрической энергии на территории Тульской области"
"Об утверждении отдельных тарифов (иных показателей) на регулируемые виды деятельности для организаций, оказывающих услуги по передаче электрической энергии на территории Тульской области"
Номер опубликования: 7101202112280002
Дата опубликования:
28.12.2021
