Официальное опубликование правовых актов
ОФИЦИАЛЬНОЕ ОПУБЛИКОВАНИЕ
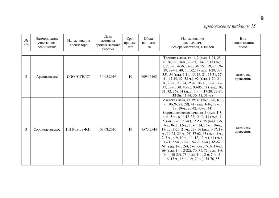
Приказ Министерства природных ресурсов и экологии Тульской области от 12.08.2020 № 368-о
"Об утверждении лесохозяйственного регламента Белевского лесничества Тульской области"
Номер опубликования: 7101202008210009
Дата опубликования: 21.08.2020
Страница №60 из 296:
Увеличить