Официальное опубликование правовых актов
ОФИЦИАЛЬНОЕ ОПУБЛИКОВАНИЕ
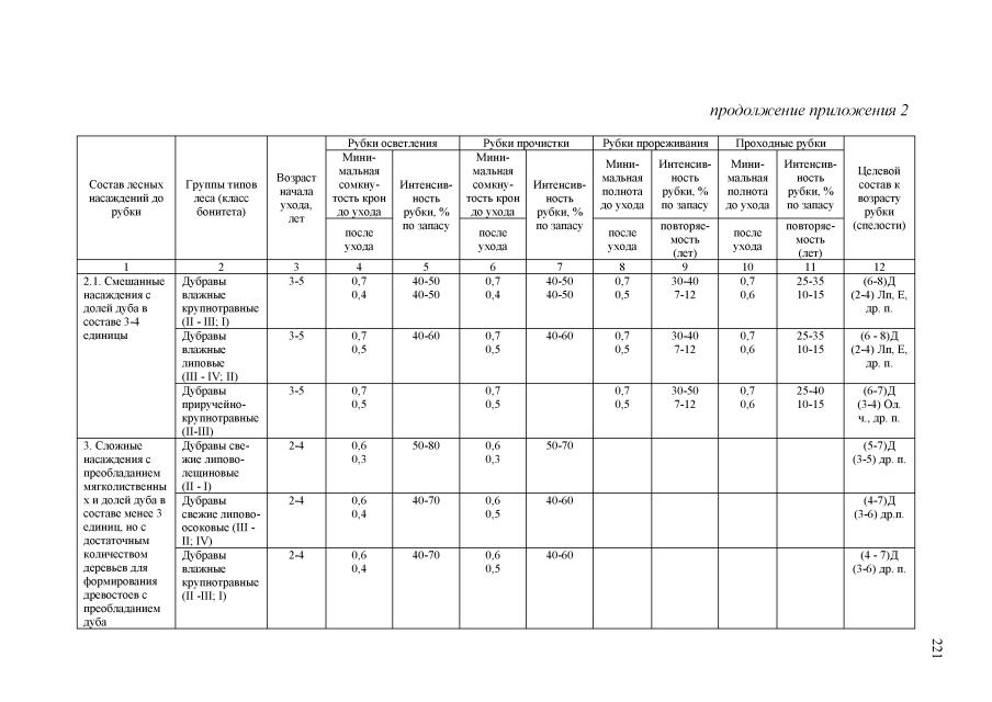
Приказ Министерства природных ресурсов и экологии Тульской области от 12.08.2020 № 373-о
"Об утверждении лесохозяйственного регламента Чернского лесничества Тульской области"
Номер опубликования: 7101202008210005
Дата опубликования: 21.08.2020
Страница №221 из 241:
Увеличить