Официальное опубликование правовых актов
ОФИЦИАЛЬНОЕ ОПУБЛИКОВАНИЕ
Постановление Комитета Тульской области по тарифам от 18.12.2019 № 45/2
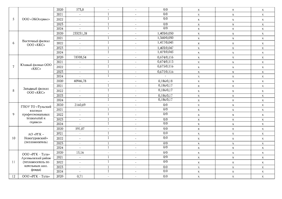
"Об установлении долгосрочных параметров регулирования, тарифов на тепловую энергию и услугу по передаче тепловой энергии, на теплоноситель, на горячую воду в открытых системах теплоснабжения (горячее водоснабжение), на горячую воду (горячее водоснабжение) в закрытых системах горячего водоснабжения, отпускаемую организациями потребителям Тульской области на 2020 год долгосрочных периодов регулирования 2017 – 2020 гг., 2018 – 2021 гг., 2019 – 2022 гг., 2019 – 2023 гг., 2020 – 2024 и долгосрочный период регулирования 2020 – 2025 гг."
Номер опубликования: 7101201912250014
Дата опубликования: 25.12.2019
Страница №8 из 249:
Увеличить