Официальное опубликование правовых актов
ОФИЦИАЛЬНОЕ ОПУБЛИКОВАНИЕ
Постановление Комитета Тульской области по тарифам от 18.12.2018 № 48/1
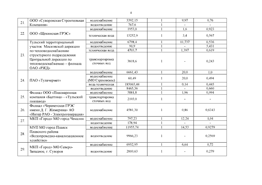
"Об установлении тарифов на услуги водоснабжения, водоотведения, транспортировку воды и транспортировку сточных вод на 2019 год долгосрочных периодов регулирования 2016- 2019 гг., 2017-2020 гг., 2018-2020 гг., 2018-2021 гг. и на 2019-2023 гг. для потребителей Тульской области"
Номер опубликования: 7101201812260005
Дата опубликования: 26.12.2018
Страница №7 из 64:
Увеличить