Официальное опубликование правовых актов
ОФИЦИАЛЬНОЕ ОПУБЛИКОВАНИЕ
Приказ Министерства труда и социальной защиты Тульской области от 31.10.2018 № 610-осн
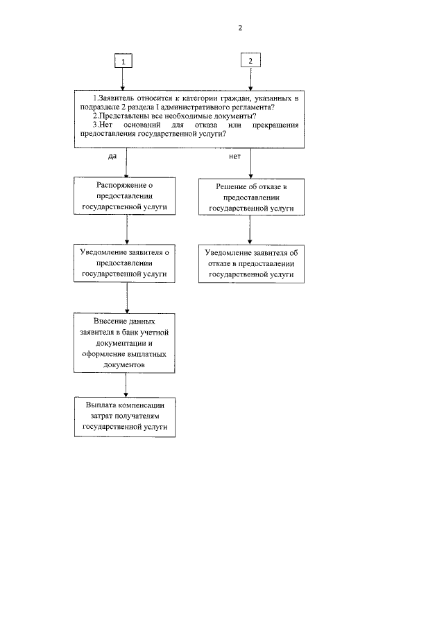
"Об утверждении административного регламента предоставления государственной услуги "Выплата компенсации затрат на оплату проезда инвалидам, страдающим почечной недостаточностью, проходящим гемодиализ в учреждениях здравоохранения Тульской области вне населенного пункта постоянного проживания"
Номер опубликования: 7101201811060007
Дата опубликования: 06.11.2018
Страница №43 из 49:
Увеличить