Официальное опубликование правовых актов
ОФИЦИАЛЬНОЕ ОПУБЛИКОВАНИЕ
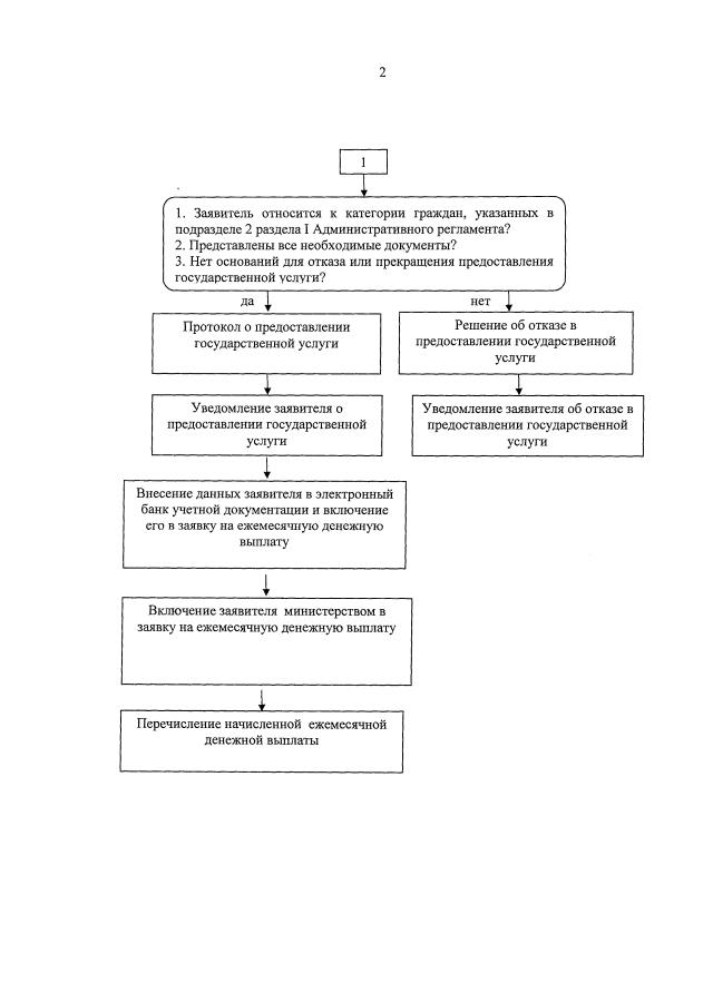
Приказ Министерства труда и социальной защиты Тульской области от 13.03.2018 № 108-осн
"Об утверждении административного регламента предоставления государственной услуги "Назначение и выплата ежемесячной денежной выплаты на ребенка в Тульской области"
Номер опубликования: 7101201803160003
Дата опубликования: 16.03.2018
Страница №51 из 58:
Увеличить