Официальное опубликование правовых актов
ОФИЦИАЛЬНОЕ ОПУБЛИКОВАНИЕ
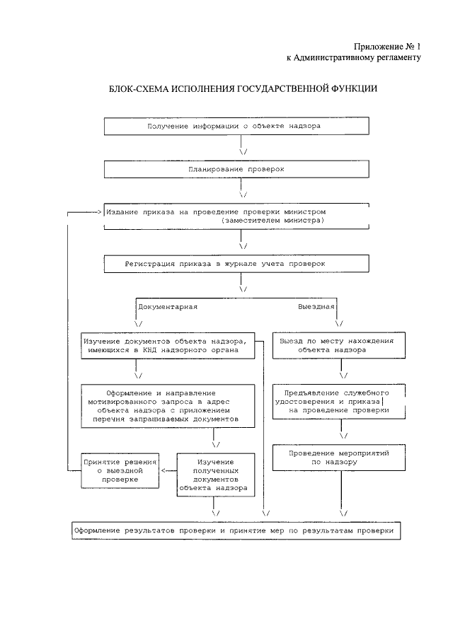
Приказ Министерства природных ресурсов и экологии Тульской области от 04.09.2017 № 625-о
"Об утверждении Административного регламента исполнения государственной функции "Осуществление регионального государственного надзора в области защиты населения и территорий от чрезвычайных ситуаций регионального, межмуниципального и муниципального характера на территории Тульской области"
Номер опубликования: 7101201709060003
Дата опубликования: 06.09.2017
Страница №35 из 37:
Увеличить