Официальное опубликование правовых актов
ОФИЦИАЛЬНОЕ ОПУБЛИКОВАНИЕ
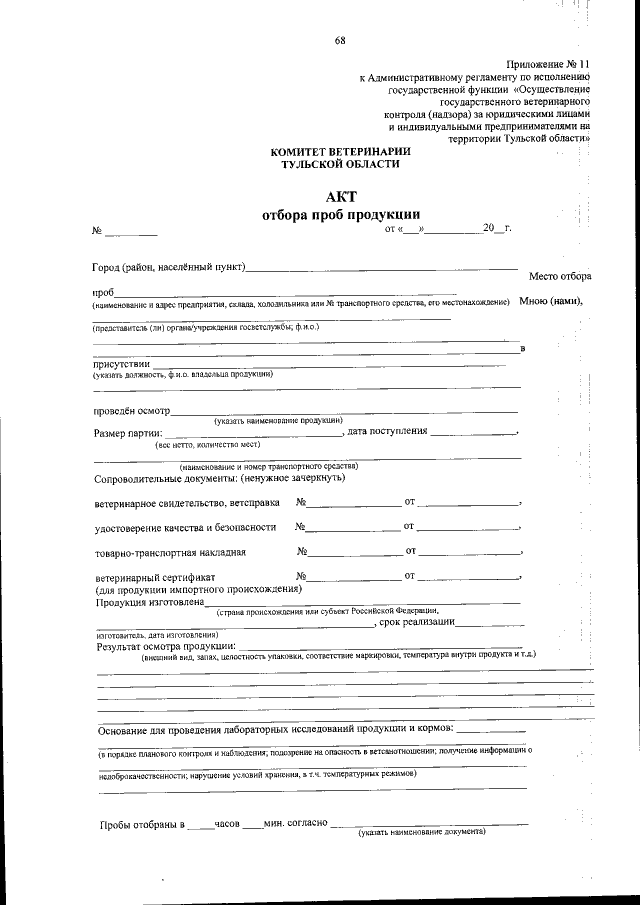
Приказ Комитета ветеринарии Тульской области от 09.01.2017 № 1
"О внесении изменения в приказ комитета ветеринарии Тульской области от 14.09.2012 № 161 "Об утверждении административного регламента комитета ветеринарии Тульской области по исполнению государственной функции "Осуществление государственного ветеринарного контроля (надзора) за юридическими лицами и индивидуальными предпринимателями на территории Тульской области"
Номер опубликования: 7101201701130004
Дата опубликования: 13.01.2017
Страница №70 из 81:
Увеличить