Официальное опубликование правовых актов
ОФИЦИАЛЬНОЕ ОПУБЛИКОВАНИЕ
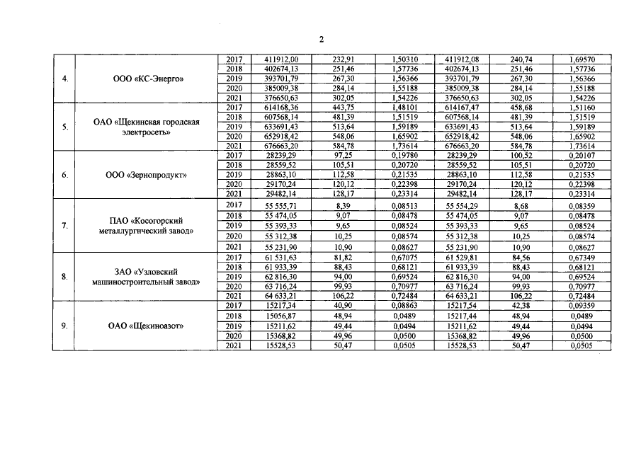
Постановление Комитета Тульской области по тарифам от 27.12.2016 № 51/1
"Об утверждении отдельных тарифов (иных показателей) на регулируемые виды деятельности для организаций, оказывающих услуги по передаче электрической энергии на территории Тульской области"
Номер опубликования: 7101201701030002
Дата опубликования: 03.01.2017
Страница №192 из 220:
Увеличить