Официальное опубликование правовых актов
ОФИЦИАЛЬНОЕ ОПУБЛИКОВАНИЕ
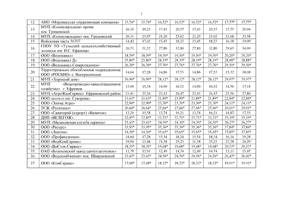
Постановление Комитета Тульской области по тарифам от 14.12.2016 № 47/4
"Об установлении тарифов на услуги водоснабжения, водоотведения, транспортировку воды, транспортировку сточных вод на 2017 год долгосрочных периодов регулирования 2016 - 2018 гг. и 2016 - 2019 гг. для потребителей Тульской области"
Номер опубликования: 7101201612210005
Дата опубликования: 21.12.2016
Страница №5 из 28:
Увеличить