Официальное опубликование правовых актов
ОФИЦИАЛЬНОЕ ОПУБЛИКОВАНИЕ
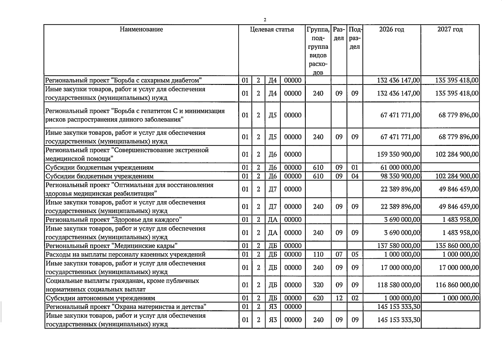
Закон Тульской области от 01.10.2025 № 61-ЗТО
"О внесении изменений в Закон Тульской области "О бюджете Тульской области на 2025 год и на плановый период 2026 и 2027 годов"
Номер опубликования: 7100202510030014
Дата опубликования: 03.10.2025
Страница №1026 из 1208:
Увеличить