Официальное опубликование правовых актов
ОФИЦИАЛЬНОЕ ОПУБЛИКОВАНИЕ
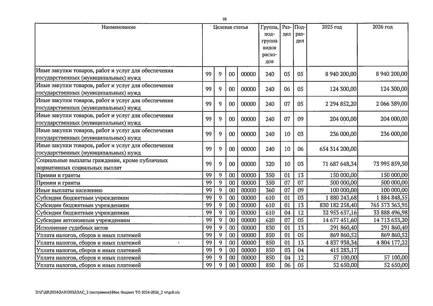
Закон Тульской области от 07.10.2024 № 57-ЗТО
"О внесении изменений в Закон Тульской области "О бюджете Тульской области на 2024 год и на плановый период 2025 и 2026 годов"
Номер опубликования: 7100202410100001
Дата опубликования: 10.10.2024
Страница №1116 из 1197:
Увеличить