Постановление Правительства Тульской области от 08.08.2024 № 404
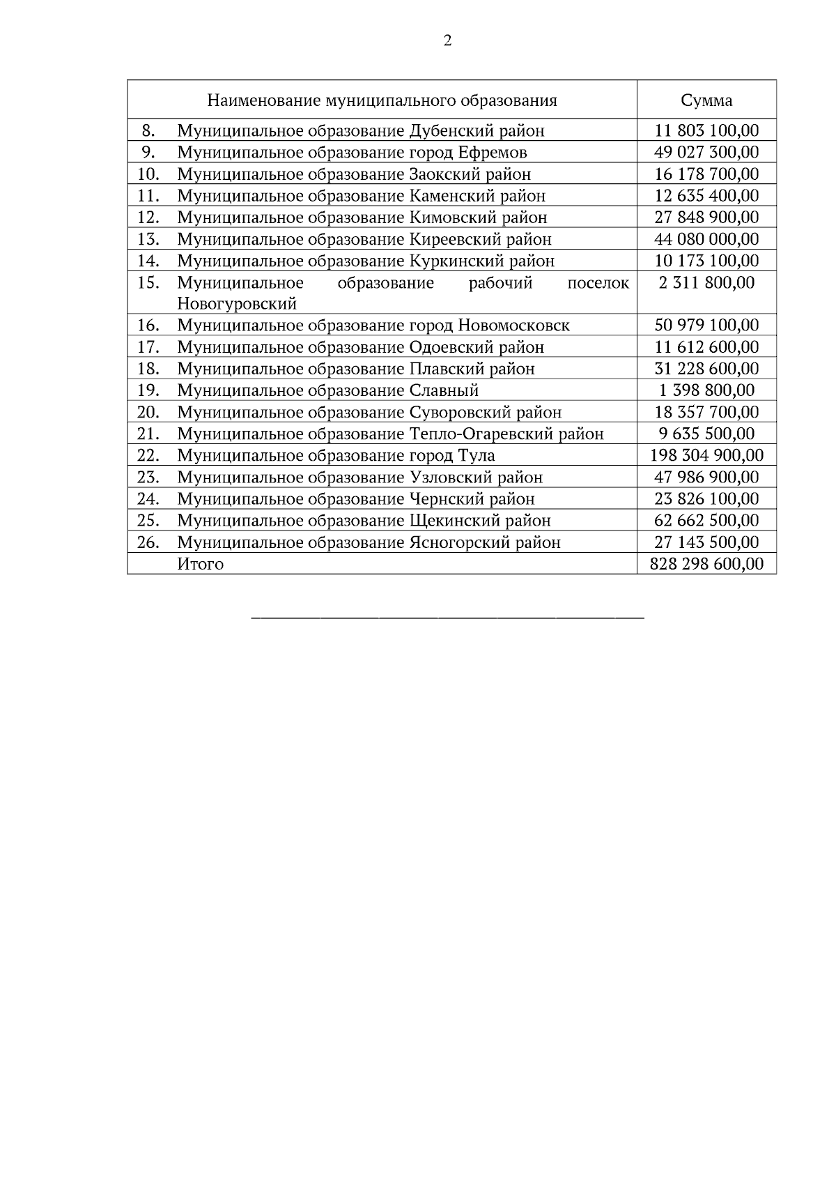
"О внесении изменения в распределение иных межбюджетных трансфертов на ежемесячное денежное вознаграждение за классное руководство педагогическим работникам государственных и муниципальных образовательных организаций, реализующих образовательные программы начального общего образования, образовательные программы основного общего образования, образовательные программы среднего общего образования, на 2024 год"
"О внесении изменения в распределение иных межбюджетных трансфертов на ежемесячное денежное вознаграждение за классное руководство педагогическим работникам государственных и муниципальных образовательных организаций, реализующих образовательные программы начального общего образования, образовательные программы основного общего образования, образовательные программы среднего общего образования, на 2024 год"
Номер опубликования: 7100202408090001
Дата опубликования:
09.08.2024
