Официальное опубликование правовых актов
ОФИЦИАЛЬНОЕ ОПУБЛИКОВАНИЕ
Постановление Правительства Тульской области от 21.06.2024 № 292
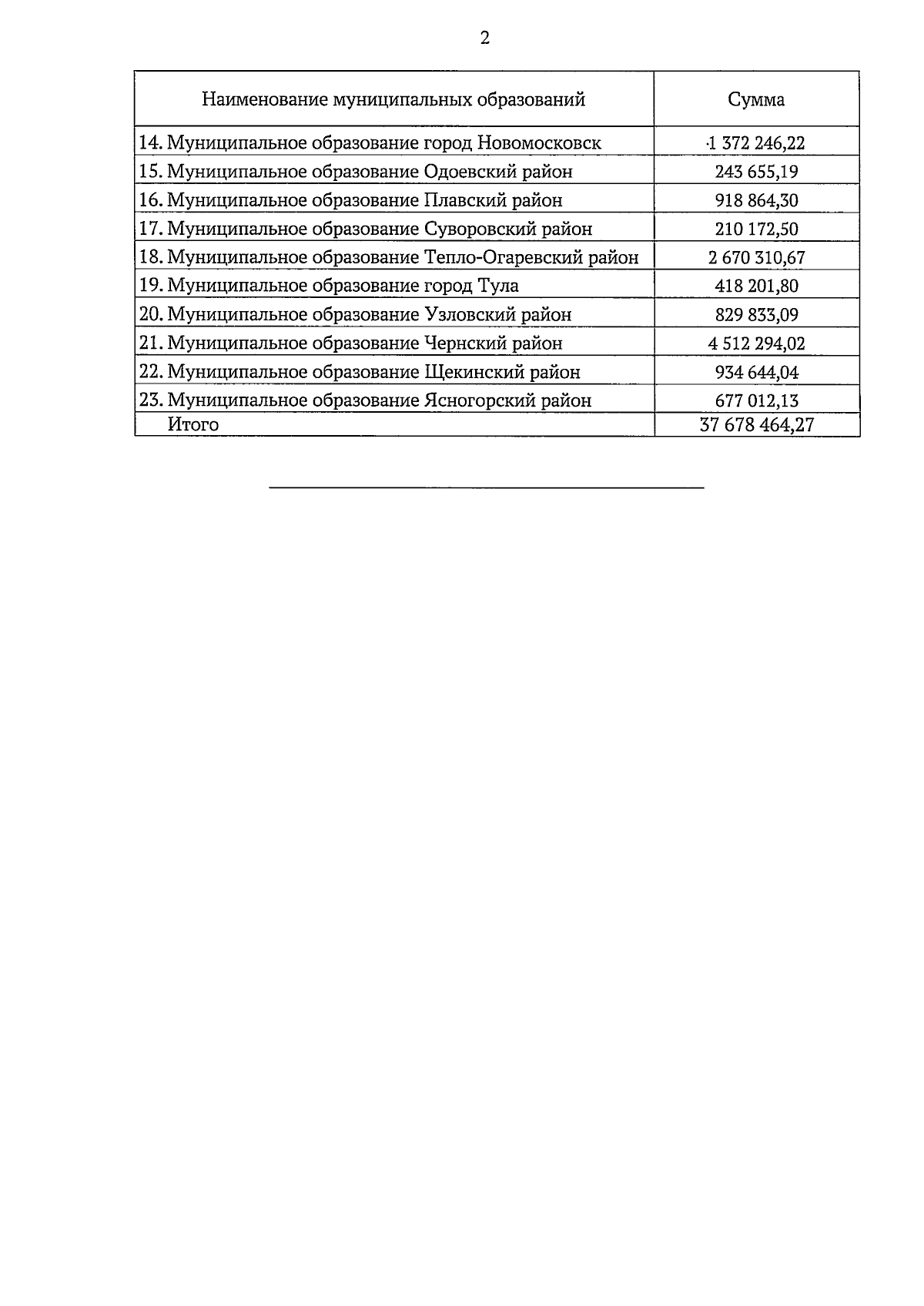
"О внесении изменения в распределение субсидий бюджетам муниципальных районов (городских округов) Тульской области на реализацию мероприятий по комплексной борьбе с борщевиком Сосновского на 2024 год"
Номер опубликования: 7100202406250005
Дата опубликования: 25.06.2024
Страница №3 из 3:
Увеличить