Официальное опубликование правовых актов
ОФИЦИАЛЬНОЕ ОПУБЛИКОВАНИЕ
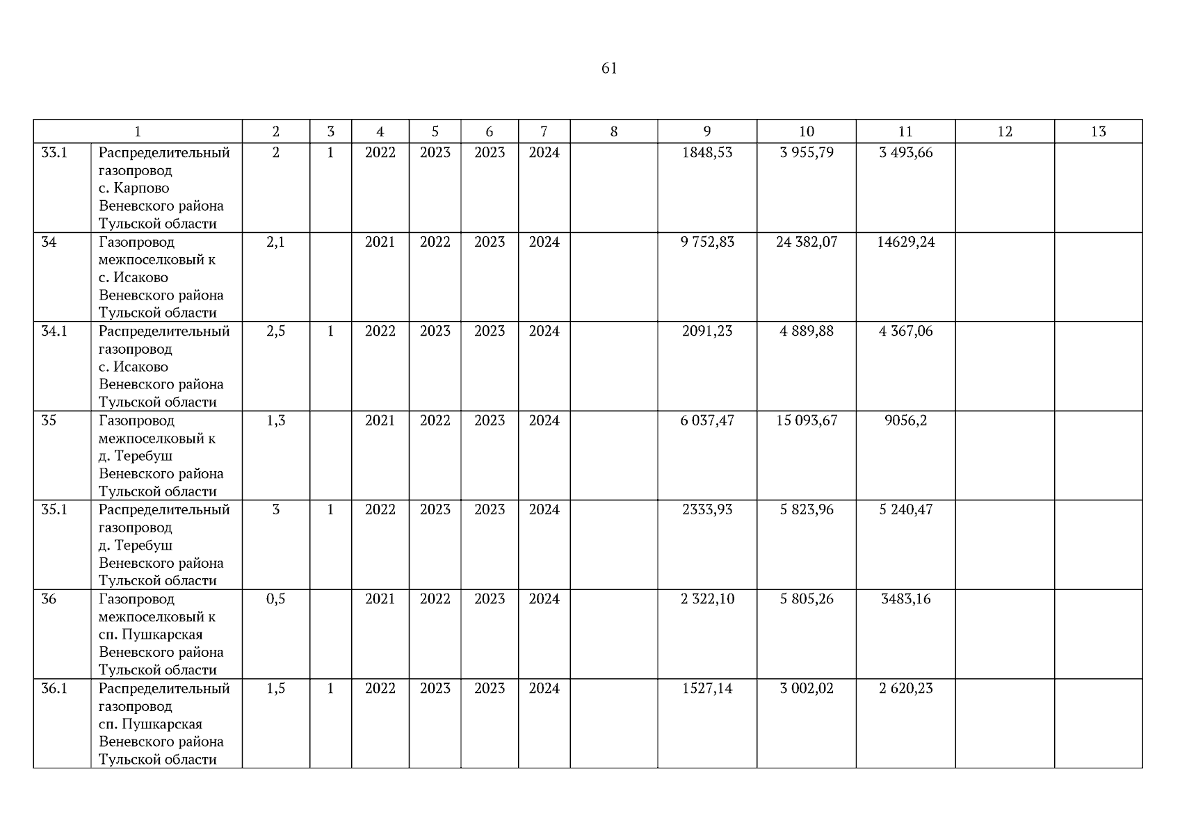
Постановление Правительства Тульской области от 07.06.2024 № 263
"О внесении изменений и дополнений в постановление правительства Тульской области от 23.12.2021 № 852"
Номер опубликования: 7100202406110004
Дата опубликования: 11.06.2024
Страница №62 из 460:
Увеличить