Официальное опубликование правовых актов
ОФИЦИАЛЬНОЕ ОПУБЛИКОВАНИЕ
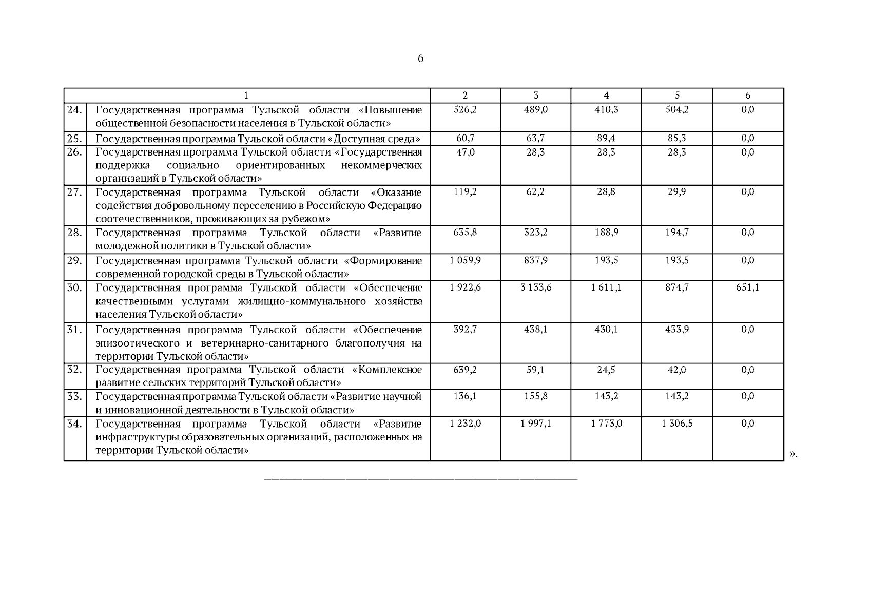
Постановление Правительства Тульской области от 16.01.2024 № 12
"О внесении изменений в постановление Правительства Тульской области от 15.02.2023 № 64"
Номер опубликования: 7100202401170004
Дата опубликования: 17.01.2024
Страница №7 из 7:
Увеличить