Официальное опубликование правовых актов
ОФИЦИАЛЬНОЕ ОПУБЛИКОВАНИЕ
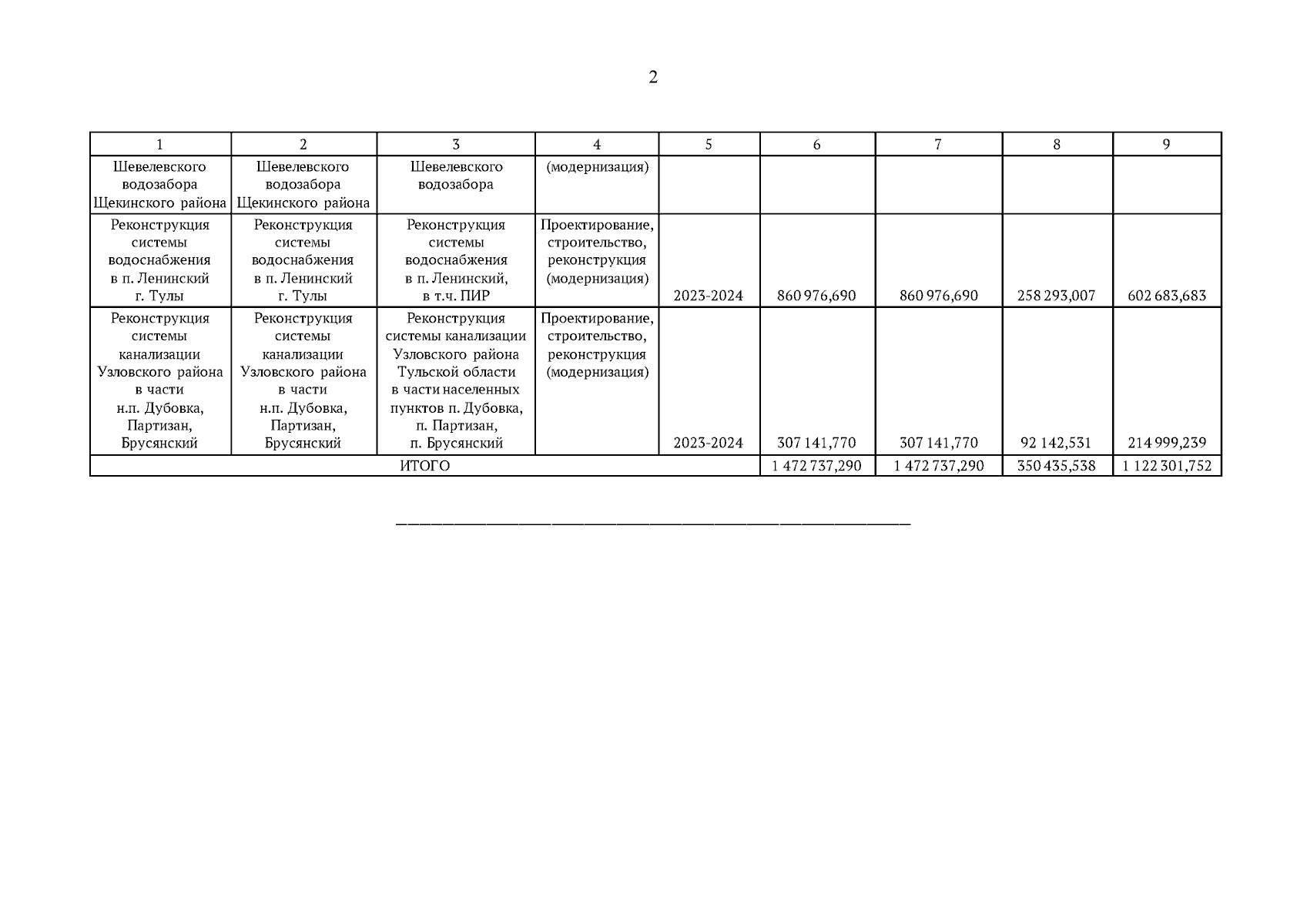
Постановление Правительства Тульской области от 12.01.2024 № 6
"О внесении изменения в постановление Правительства Тульской области от 04.09.2023 № 543"
Номер опубликования: 7100202401160005
Дата опубликования: 16.01.2024
Страница №3 из 3:
Увеличить