Официальное опубликование правовых актов
ОФИЦИАЛЬНОЕ ОПУБЛИКОВАНИЕ
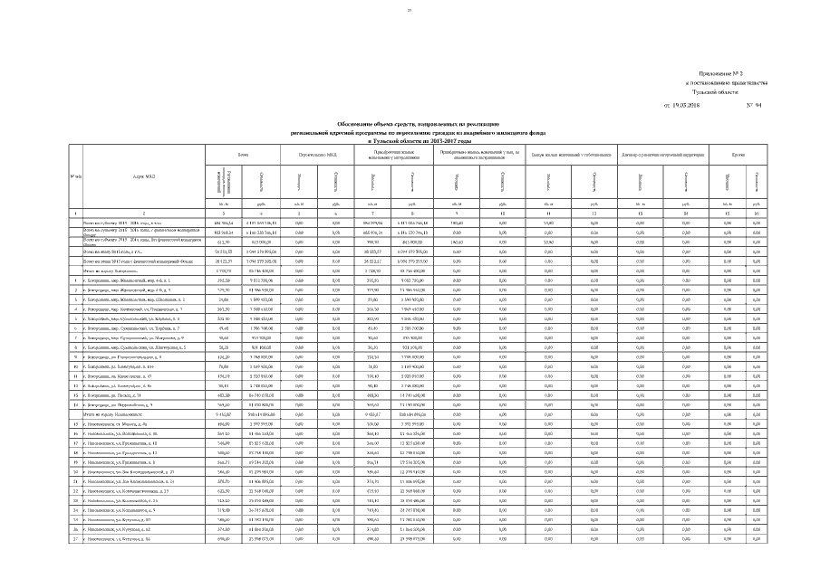
Постановление Правительства Тульской области от 13.04.2023 № 191
"О внесении изменений в постановление правительства Тульской области от 19.03.2018 № 94"
Номер опубликования: 7100202304130003
Дата опубликования: 13.04.2023
Страница №28 из 53: