Официальное опубликование правовых актов
ОФИЦИАЛЬНОЕ ОПУБЛИКОВАНИЕ
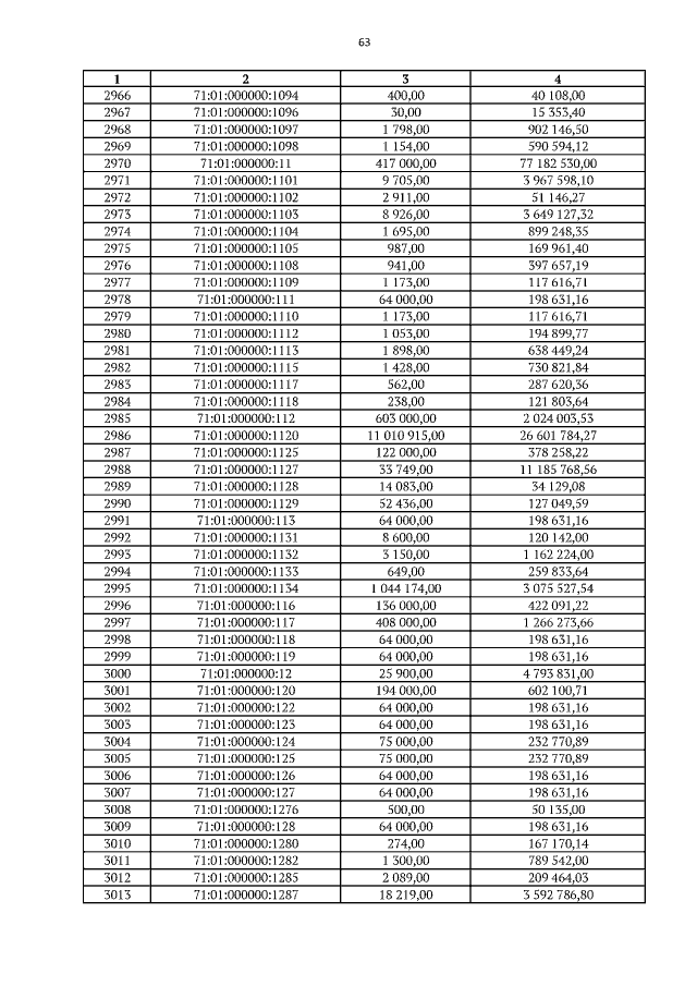
Постановление Правительства Тульской области от 16.11.2022 № 719
"Об утверждении результатов определения кадастровой стоимости земельных участков на территории Тульской области"
Номер опубликования: 7100202211230001
Дата опубликования: 23.11.2022
Страница №65 из 19175:
Увеличить