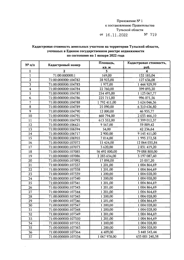
Постановление Правительства Тульской области от 16.11.2022 № 719
"Об утверждении результатов определения кадастровой стоимости земельных участков на территории Тульской области"
"Об утверждении результатов определения кадастровой стоимости земельных участков на территории Тульской области"
Номер опубликования: 7100202211230001
Дата опубликования:
23.11.2022
