Официальное опубликование правовых актов
ОФИЦИАЛЬНОЕ ОПУБЛИКОВАНИЕ
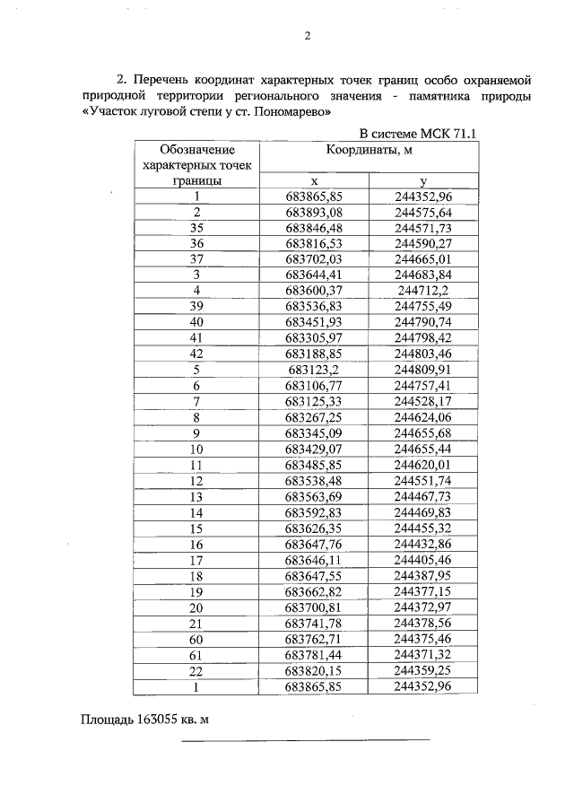
Постановление Правительства Тульской области от 09.04.2021 № 167
"О создании особо охраняемых природных территорий регионального значения на территории Тульской области"
Номер опубликования: 7100202104090006
Дата опубликования: 09.04.2021
Страница №7 из 14:
Увеличить