Официальное опубликование правовых актов
ОФИЦИАЛЬНОЕ ОПУБЛИКОВАНИЕ
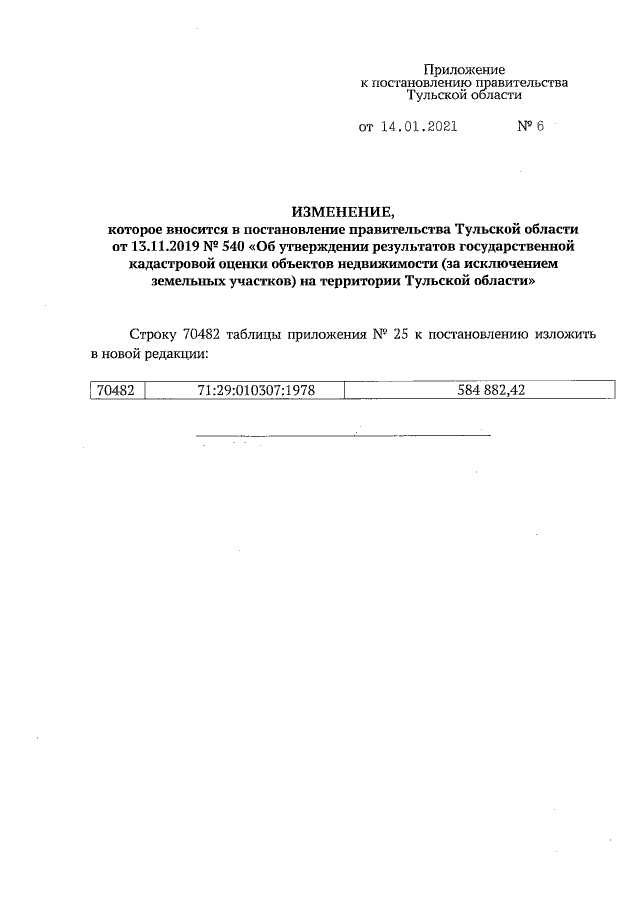
Постановление Правительства Тульской области от 14.01.2021 № 6
"О внесении изменения в постановление правительства Тульской области от 13.11.2019 № 540"
Номер опубликования: 7100202101150004
Дата опубликования: 15.01.2021
Страница №2 из 2:
Увеличить