Официальное опубликование правовых актов
ОФИЦИАЛЬНОЕ ОПУБЛИКОВАНИЕ
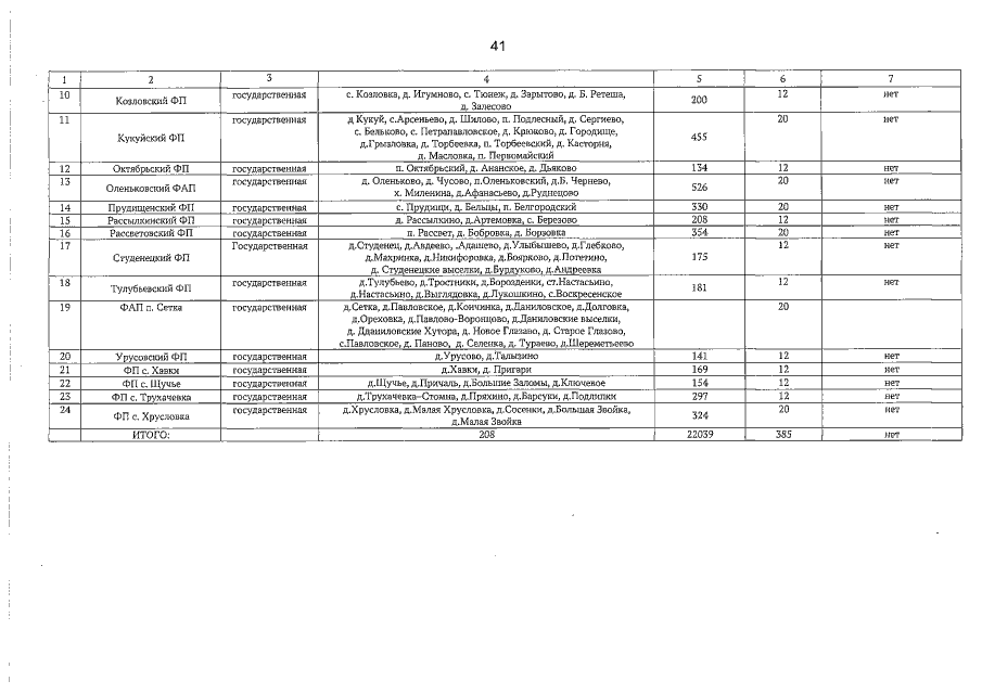
Постановление Правительства Тульской области от 15.12.2020 № 764
"Об утверждении региональной программы Тульской области "Модернизация первичного звена здравоохранения Тульской области"
Номер опубликования: 7100202012170001
Дата опубликования: 17.12.2020
Страница №199 из 745:
Увеличить