Официальное опубликование правовых актов
ОФИЦИАЛЬНОЕ ОПУБЛИКОВАНИЕ
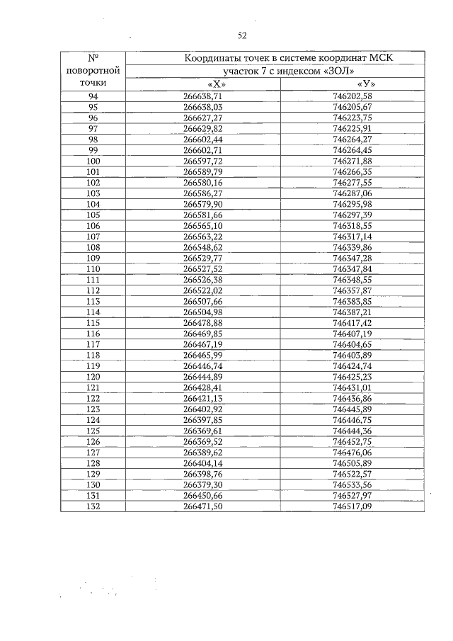
Постановление Правительства Тульской области от 20.10.2020 № 640
"Об установлении зон охраны отдельных объектов культурного наследия регионального значения, расположенных в городе Туле, и утверждении требований к градостроительным регламентам в границах территорий данных зон"
Номер опубликования: 7100202010210005
Дата опубликования: 21.10.2020
Страница №54 из 57:
Увеличить