Официальное опубликование правовых актов
ОФИЦИАЛЬНОЕ ОПУБЛИКОВАНИЕ
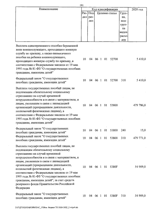
Закон Тульской области от 17.07.2020 № 60-ЗТО
"О внесении изменений в Закон Тульской области "О бюджете Тульской области на 2020 год и на плановый период 2021 и 2022 годов"
Номер опубликования: 7100202007210004
Дата опубликования: 21.07.2020
Страница №251 из 699:
Увеличить