Официальное опубликование правовых актов
ОФИЦИАЛЬНОЕ ОПУБЛИКОВАНИЕ
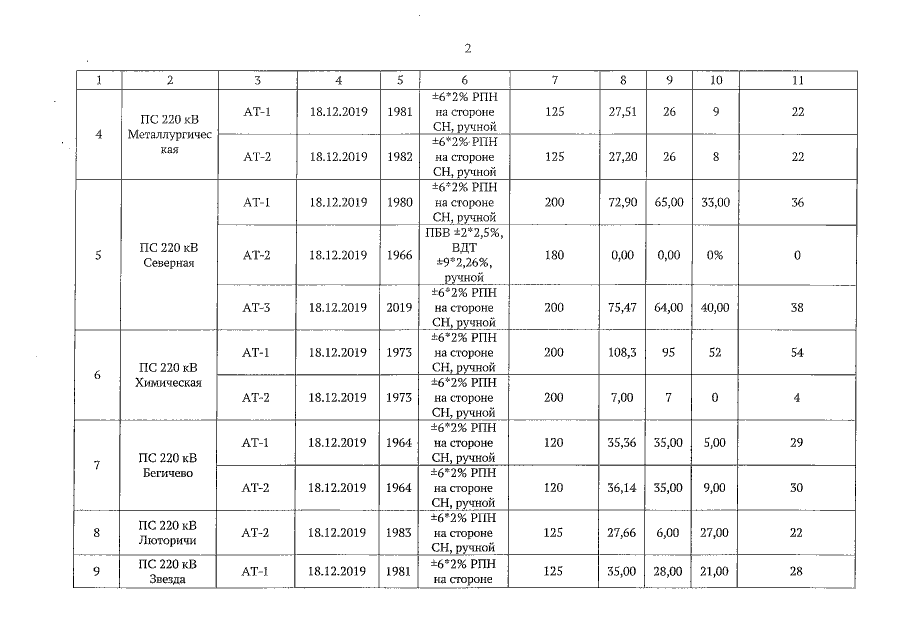
Постановление Правительства Тульской области от 29.04.2020 № 199
"Об утверждении Схемы и Программы развития электроэнергетики Тульской области на 2021-2025 годы"
Номер опубликования: 7100202004300002
Дата опубликования: 30.04.2020
Страница №164 из 182:
Увеличить