Официальное опубликование правовых актов
ОФИЦИАЛЬНОЕ ОПУБЛИКОВАНИЕ
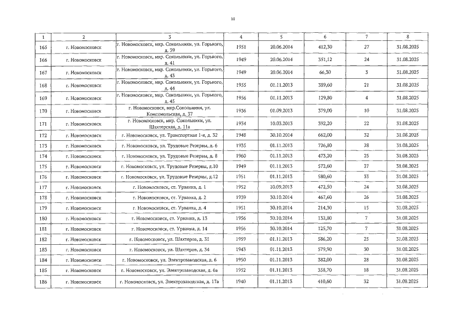
Постановление Правительства Тульской области от 21.02.2020 № 82
"О внесении изменений в постановление правительства Тульской области от 29.12.2018 № 598"
Номер опубликования: 7100202002210004
Дата опубликования: 21.02.2020
Страница №32 из 45:
Увеличить