Официальное опубликование правовых актов
ОФИЦИАЛЬНОЕ ОПУБЛИКОВАНИЕ
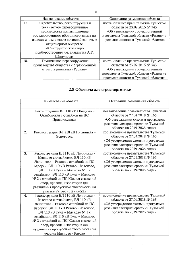
Постановление Правительства Тульской области от 30.12.2019 № 688
"О внесении изменений в постановление правительства Тульской области от 04.04.2012 № 126 "Об утверждении Схемы территориального планирования Тульской области"
Номер опубликования: 7100201912310012
Дата опубликования: 31.12.2019
Страница №27 из 1004:
Увеличить