Официальное опубликование правовых актов
ОФИЦИАЛЬНОЕ ОПУБЛИКОВАНИЕ
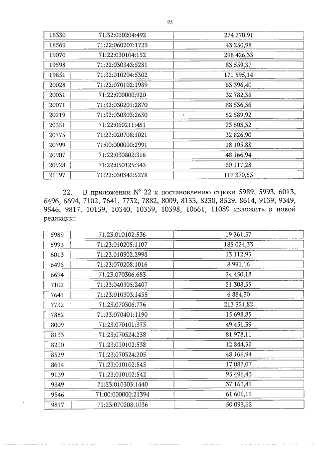
Постановление Правительства Тульской области от 20.09.2019 № 442
"О внесении изменений в постановление правительства Тульской области от 12.09.2016 № 414"
Номер опубликования: 7100201909200003
Дата опубликования: 20.09.2019
Страница №96 из 103:
Увеличить