Официальное опубликование правовых актов
ОФИЦИАЛЬНОЕ ОПУБЛИКОВАНИЕ
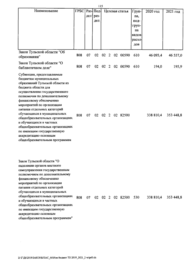
Закон Тульской области от 18.07.2019 № 75-ЗТО
"О внесении изменений в Закон Тульской области "О бюджете Тульской области на 2019 год и на плановый период 2020 и 2021 годов"
Номер опубликования: 7100201907220019
Дата опубликования: 22.07.2019
Страница №883 из 1357:
Увеличить