Официальное опубликование правовых актов
ОФИЦИАЛЬНОЕ ОПУБЛИКОВАНИЕ
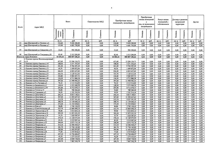
Постановление Правительства Тульской области от 19.03.2018 № 93
"О некоторых вопросах реализации региональной адресной программы по переселению граждан из аварийного жилищного фонда с учетом необходимости развития малоэтажного строительства в Тульской области на 2013-2017 годы"
Номер опубликования: 7100201803200003
Дата опубликования: 20.03.2018
Страница №26 из 52:
Увеличить