Официальное опубликование правовых актов
ОФИЦИАЛЬНОЕ ОПУБЛИКОВАНИЕ
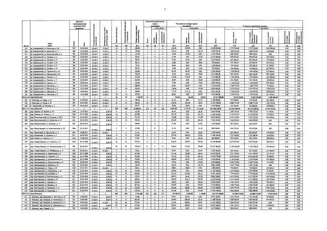
Постановление Правительства Тульской области от 13.10.2017 № 466
"О внесении изменений и дополнения в постановление правительства Тульской области от 19.11.2013 № 660"
Номер опубликования: 7100201710180001
Дата опубликования: 18.10.2017
Страница №28 из 123:
Увеличить