Официальное опубликование правовых актов
ОФИЦИАЛЬНОЕ ОПУБЛИКОВАНИЕ
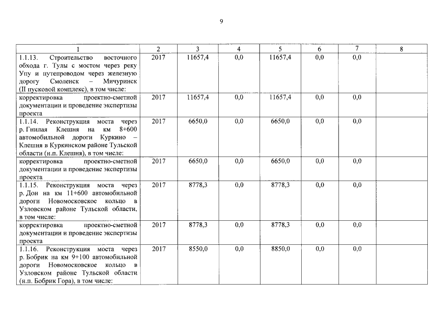
Постановление Правительства Тульской области от 28.09.2017 № 446
"О внесении изменений в постановление правительства Тульской области от 20.11.2013 № 662"
Номер опубликования: 7100201710030003
Дата опубликования: 03.10.2017
Страница №10 из 101:
Увеличить