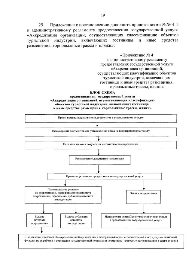
Постановление Правительства Тульской области от 09.08.2017 № 339
"О внесении изменений и дополнений в постановление правительства Тульской области от 21.08.2012 № 449"
"О внесении изменений и дополнений в постановление правительства Тульской области от 21.08.2012 № 449"
Номер опубликования: 7100201708140013
Дата опубликования:
14.08.2017
