Официальное опубликование правовых актов
ОФИЦИАЛЬНОЕ ОПУБЛИКОВАНИЕ
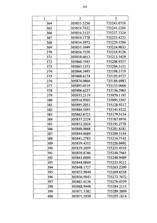
Постановление Правительства Тульской области от 26.06.2017 № 250
"Об утверждении проекта планировки и проекта межевания территории линейного объекта "Реконструкция ГРС Северо-Задонская"
Номер опубликования: 7100201706290008
Дата опубликования: 29.06.2017
Страница №104 из 180:
Увеличить