Официальное опубликование правовых актов
ОФИЦИАЛЬНОЕ ОПУБЛИКОВАНИЕ
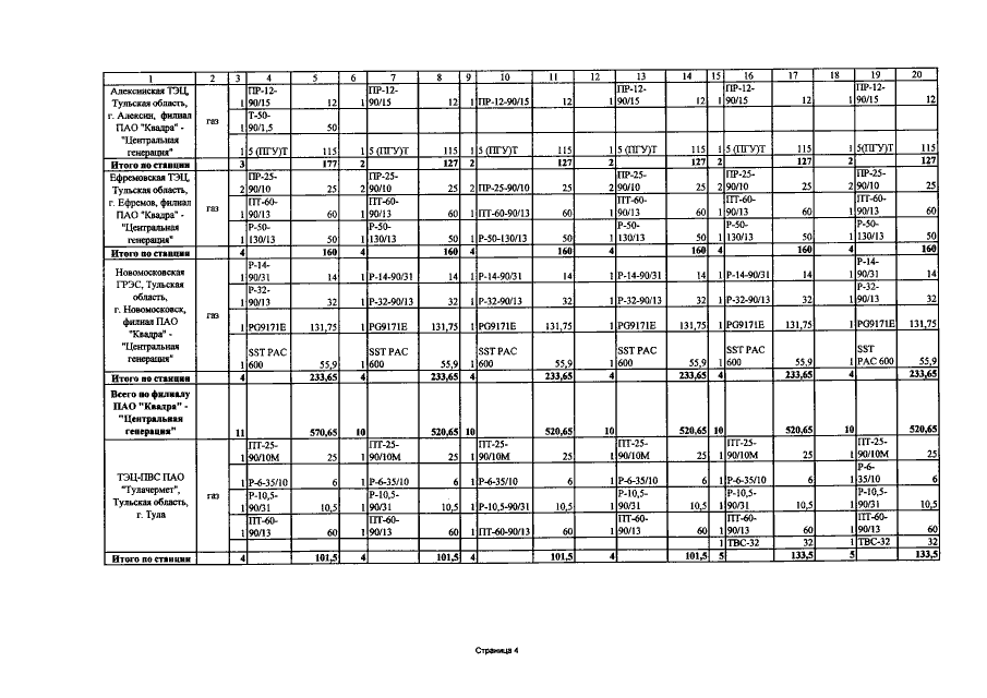
Постановление Правительства Тульской области от 28.04.2017 № 172
"Об утверждении Схемы и Программы развития электроэнергетики Тульской области на 2018-2022 годы"
Номер опубликования: 7100201705020005
Дата опубликования: 02.05.2017
Страница №154 из 185:
Увеличить