Официальное опубликование правовых актов
ОФИЦИАЛЬНОЕ ОПУБЛИКОВАНИЕ
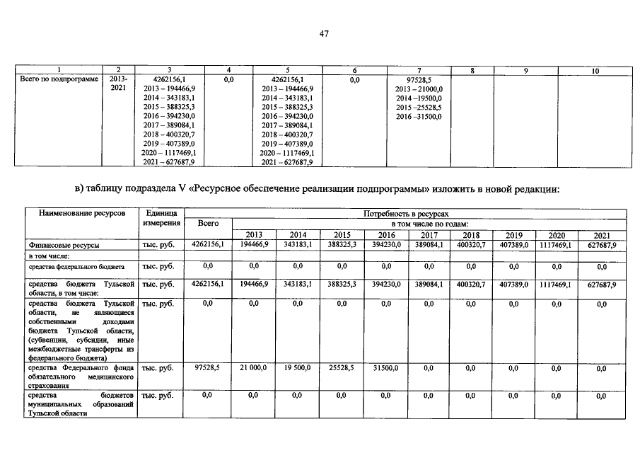
Постановление Правительства Тульской области от 30.03.2017 № 125
"О внесении изменений в постановление правительства Тульской области от 20.08.2013 № 429 "Об утверждении государственной программы Тульской области "Развитие здравоохранения Тульской области"
Номер опубликования: 7100201703310001
Дата опубликования: 31.03.2017
Страница №48 из 100:
Увеличить