Постановление Правительства Тульской области от 18.01.2017 № 9
"О внесении изменений в постановление правительства Тульской области от 09.12.2013 № 740"
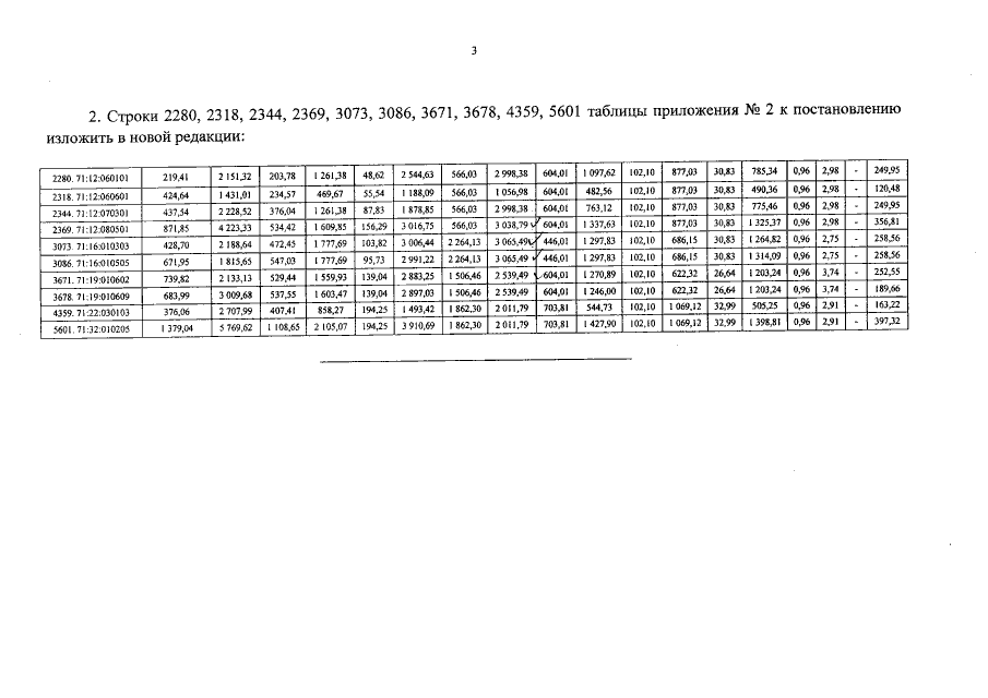
"О внесении изменений в постановление правительства Тульской области от 09.12.2013 № 740"
Номер опубликования: 7100201701200004
Дата опубликования:
20.01.2017
