Официальное опубликование правовых актов
ОФИЦИАЛЬНОЕ ОПУБЛИКОВАНИЕ
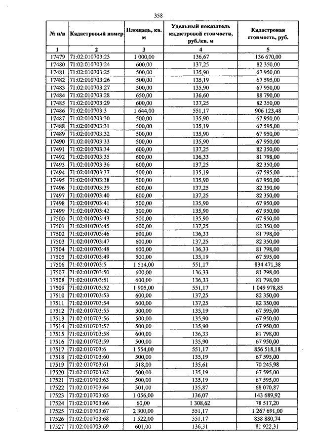
Постановление Правительства Тульской области от 30.11.2016 № 546
"Об утверждении результатов определения кадастровой стоимости земельных участков в составе земель населенных пунктов Тульской области"
Номер опубликования: 7100201612060005
Дата опубликования: 06.12.2016
Страница №360 из 11608:
Увеличить