Официальное опубликование правовых актов
ОФИЦИАЛЬНОЕ ОПУБЛИКОВАНИЕ
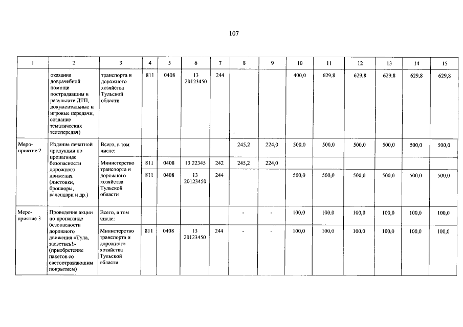
Постановление Правительства Тульской области от 11.11.2016 № 520
"О внесении изменения в постановление правительства Тульской области от 17.12.2013 № 745 "Об утверждении государственной программы Тульской области "Развитие транспортной системы Тульской области и повышение безопасности дорожного движения"
Номер опубликования: 7100201611160001
Дата опубликования: 16.11.2016
Страница №108 из 141:
Увеличить