Официальное опубликование правовых актов
ОФИЦИАЛЬНОЕ ОПУБЛИКОВАНИЕ
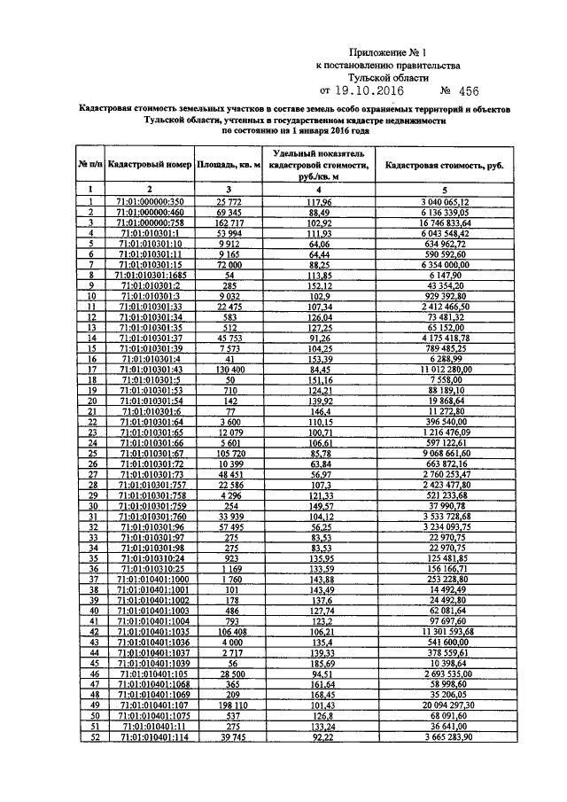
Постановление Правительства Тульской области от 19.10.2016 № 456
"Об утверждении результатов определения кадастровой стоимости земель особо охраняемых территорий и объектов Тульской области"
Номер опубликования: 7100201610240008
Дата опубликования: 24.10.2016
Страница №2 из 10:
Увеличить