Официальное опубликование правовых актов
ОФИЦИАЛЬНОЕ ОПУБЛИКОВАНИЕ
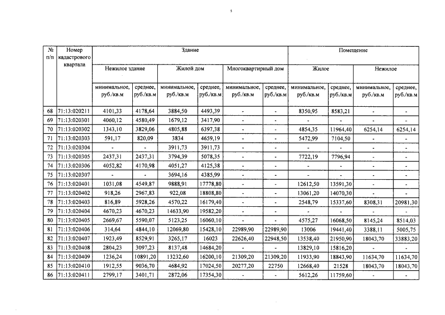
Постановление Правительства Тульской области от 12.09.2016 № 414
"Об утверждении результатов государственной кадастровой оценки объектов недвижимости (за исключением земельных участков) на территории Тульской области"
Номер опубликования: 7100201609260001
Дата опубликования: 26.09.2016
Страница №29097 из 29406:
Увеличить